365bet体育在线总站 365bet体育直播 365bet体育投注网址
首页
关于我们
beat365在线体育简介
公司领导
专业设置
组织机构
团队队伍
公司新闻
建院新闻
通知公告
教学科研
职教动态
教学工作
科研工作
质量工程
团学工作
员工风采
奖助贷优
学籍管理
学管队伍
鲁班讲堂
实习实训
实训基地
岗位实习
人才招聘
招生计划
就业信息
访企拓岗
基层党建
党员教育
组织建设
技能大赛
下载中心
校历
实习进程表
公司新闻
建院新闻
通知公告
通知公告
当前位置:
首页
>>
公司新闻
>>
通知公告
>> 正文
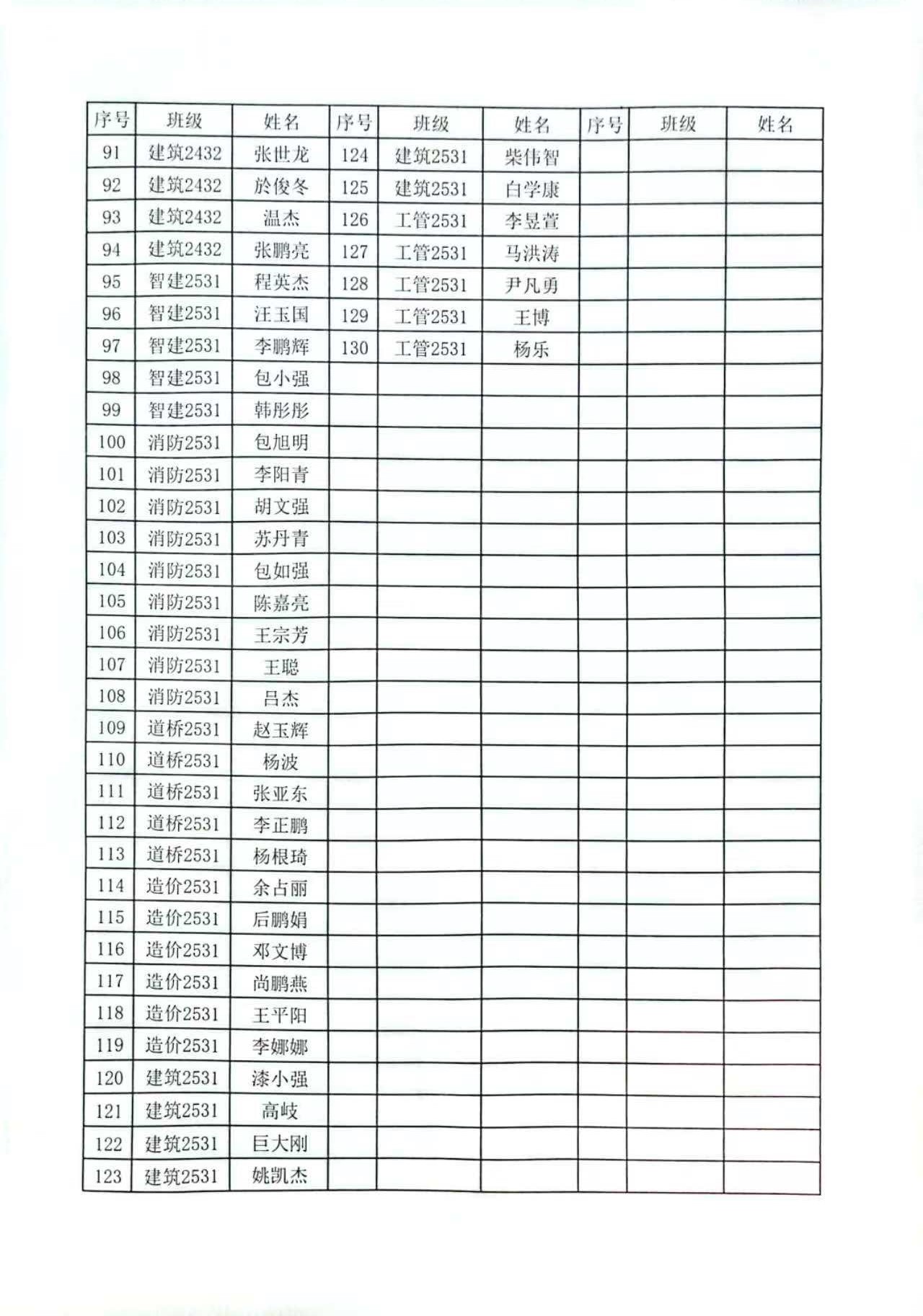
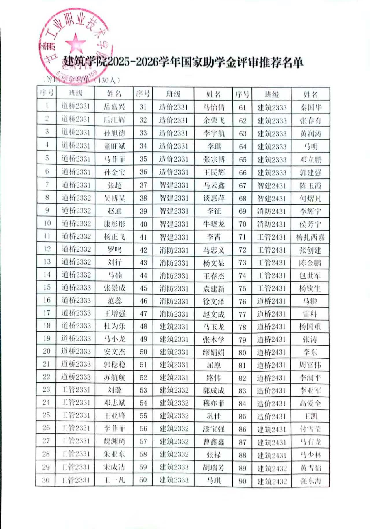
beat365在线体育关于2025-2026学年国家助学金评定名单的公示
发布日期:2025-10-31 来源:beat365在线体育 点击:
上一条:
beat365在线体育外出培训、会议统计一览表
下一条:
beat365在线体育2025年国家励志奖学金拟推荐名单公示